Project B07:
Impact of cirrus clouds on tropopause structure
Brief Summary
Cirrus clouds, which consist entirely of ice crystals, play a crucial role in the Earth’s atmosphere by influencing the global energy budget and controlling the abundance of water vapor in the upper atmosphere. This project aims to improve the representation of cirrus clouds in numerical weather prediction and climate models by incorporating several key processes that are currently underrepresented or overlooked. These processes, essential for the formation and evolution of cirrus clouds, occur on very small scales and cannot be explicitly captured in models. They include
– gravity waves, which are prevalent in the atmosphere and cause temperature variations that impact the ice formation (ice nucleation)
– small-scale instabilities that lead to turbulent motion and mixing which affects the formation and dissipation of cirrus
– microphysical processes that govern the nucleation of ice crystals, in particular the role of pre-existing particles (homogeneous vs. heterogeneous nucleation) and the competition between the two formation pathways
Our approach combines theoretical analysis and a hierarchy of models, ranging from simplified conceptual frameworks to high-resolution models and to full-fledged weather prediction/climate models.
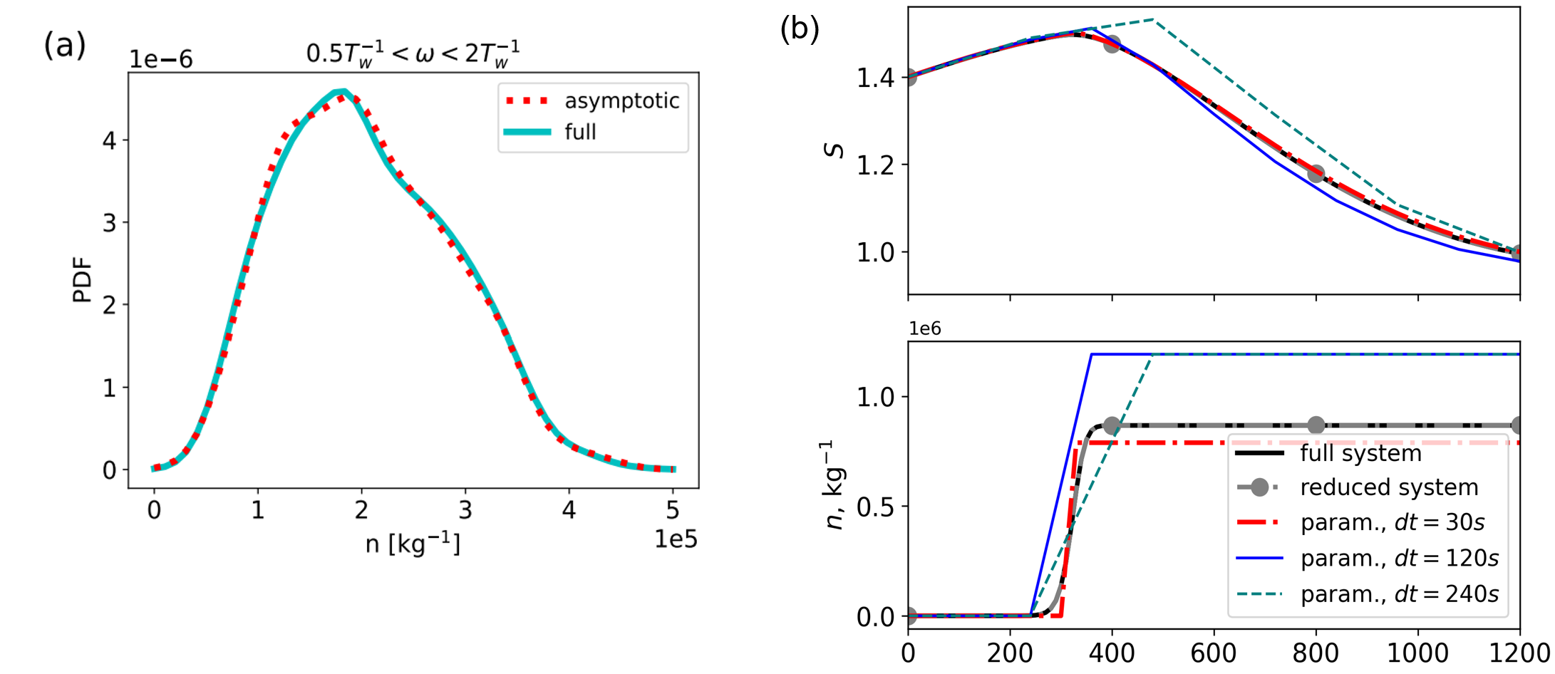
In phase 1 of the project we developed simplified equations to understand how ice physics is influenced by gravity waves. This advancement enables accurate prediction of the number of ice crystals formed due to GWs (see Fig. 1a). We expanded this methodology to include corrections for the varying mean mass of ice crystals during the formation process (see Fig. 1b). Additionally, we explored the properties of the underlying mathematical model by analysing its steady and oscillatory regimes and the transitions between them (bifurcations), as shown in Fig. 2a. We also demonstrate that the model provides realistic estimates when compared with observational data (see Fig. 2b).
Fig. 2a: Bifurcation diagram of the model. Fig. 2b: Simulated ice crystal numbers (modelling data) and observed ones (color shading). From Bergner and Spichtinger, 2025.
Project Poster
Evaluation Poster Phase I in 2025
Members
Prof. Dr. Ulrich Achatz
Principal Investigator
Goethe-Universität Frankfurt, Institut für Atmosphäre und Umwelt
achatz[at]iau.uni-frankfurt.de
Dr. Stamen I. Dolaptchiev
Principal Investigator
Goethe-Universität Frankfurt, Institut für Atmosphäre und Umwelt
dolaptchiev[at]iau.uni-frankfurt.de
Prof. Dr. Peter Spichtinger
Principal Investigator
Johannes Gutenberg-Universität Mainz, Institut für Physik der Atmosphäre
spichtin[at]uni-mainz.de
Dr. Hannah Bergner
Postdoc
Johannes Gutenberg-Universität Mainz, Institut für Physik der Atmosphäre
h.bergner[at]uni-mainz.de
Dr. Alena Kosareva
Postdoc
Goethe-Universität Frankfurt, Institut für Atmosphäre und Umwelt
kosareva[at]iau.uni-frankfurt.de
Publications
Bergner, H. and P. Spichtinger (Apr. 2026): Ice clouds as nonlinear oscillators. Chaos: An Interdisciplinary Journal of Nonlinear Science 36 (4), 043115. doi: 10.1063/5.0297531. Featured Article. scilight.
Banerjee, T., S. Borchert, Y.-H. Kim, A. Kosareva, D. Kunkel, G. T. Masur, Z. Procházková, J. Schmidli, G. S. Voelker, and U. Achatz (2025): The Impact of Non-Orographic Gravity Waves on Transport and Mixing: Effects of Oblique Propagation and Coupling to Turbulence. [Preprint], doi: https://doi.org/10.48550/arXiv.2508.20562
Jochum, F., R. Chew, F. Lott, G. S. Voelker, J. Weinkaemmerer, and U. Achatz (2025): The Impact of Transience in the Interaction between Orographic Gravity Waves and Mean Flow. Journal of the Atmospheric Sciences 82 (2), 425–442. doi: 10.1175/JAS-D-24-0158.1.
Knop, I., S. Dolaptchiev, and U. Achatz (2025): Impact of Small-Scale Gravity Waves on Tracer Transport. arXiv,
[Preprint]. doi: https://arxiv.org/abs/2504.01657.
Kosareva, A., S. Dolaptchiev, P. Spichtinger, and U. Achatz (2025): A new parameterisation for homogeneous ice nucleation driven by highly variable dynamical forcings. Geoscientific Model Development 18 (18), 6117–6133. doi: 10.5194/gmd-18-6117-2025.
Lüttmer, T., A. Miltenberger, and P. Spichtinger (2025): On the impact of ice formation processes and sedimentation on cirrus origin classification in warm conveyor belt outflow. Atmospheric Chemistry and Physics 25 (17), 10245–10265. doi: 10.5194/acp-25-10245-2025.
Petzold, A., N. F. Khan, Y. Li, P. Spichtinger, S. Rohs, S. Crewell, A. Wahner, and M. Krämer (2025): Most long-lived contrails form within cirrus clouds with uncertain climate impact. Nature Communications, 16, 9695, doi: 10.1038/s41467-025-65532-2.
Reutter, P. and P. Spichtinger (2025): The frosty frontier: redefining the mid-latitude tropopause using the relative humidity over ice. Atmospheric Chemistry and Physics 25 (22), 16303–16314. doi: 10.5194/acp-25-16303-2025.
Schuh, H. Z., P. Reutter, S. Niebler, and P. Spichtinger (2025): Fractal Characteristics of Ice-Supersaturated Regions in the Tropopause Region of the northern midlatitudes. EGUsphere 2025, [Preprint], 1–30. doi: 10.5194/egusphere-2025-2498
Achatz, U., M. J. Alexander, E. Becker, H.-Y. Chun, A. Dörnbrack, L. Holt, R. Plougonven, I. Polichtchouk, K. Sato, A. Sheshadri, C. C. Stephan, A. van Niekerk, and C. J. Wright (2024): Atmospheric Gravity Waves: Processes and Parameterization. Journal of the Atmospheric Sciences 81 (2), 237–262. https://doi.org/10.1175/JAS-D-23-0210.1
Chew, R., S. Dolaptchiev, M.-S. Wedel, and U. Achatz (2024): A Constrained Spectral Approximation of Subgrid-Scale Orography on Unstructured Grids. Journal of Advances in Modeling Earth Systems 16 (8), e2024MS004361. doi: https://doi.org/10.1029/2024MS004361
Kim, Y.-H., G. S. Voelker, G. Bölöni, G. Zängl, and U. Achatz (2024): Crucial role of obliquely propagating gravity waves in the quasi-biennial oscillation dynamics. Atmospheric Chemistry and Physics 24 (5), 3297–3308. doi: 10.5194/acp-24-3297-2024.
Köhler, D., P. Reutter, and P. Spichtinger (2024): Relative humidity over ice as a key variable for Northern Hemisphere midlatitude tropopause inversion layers. Atmospheric Chemistry and Physics 24 (17), 10055–10072. doi: 10.5194/acp-24-10055-2024.
Listowski, C., C. C. Stephan, A. Le Pichon, A. Hauchecorne, Y.-H. Kim, U. Achatz, and G. Bölöni (2024): Stratospheric gravity waves impact on infrasound transmission losses across the International Monitoring System. Pure and Applied Geophysics, doi: 10.1007/s00024-024-03467-3.
Voelker, G. S., G. Bölöni, Y.-H. Kim, G. Zängl, and U. Achatz (2024): MS-GWaM: A 3-dimensional transient gravity wave parametrization for atmospheric models. Journal of the Atmospheric Sciences, doi: 10.1175/JAS-D-23-0153.1.
Achatz, U., Y.-H. Kim, and G. S. Voelker (Nov. 2023): Multi-scale dynamics of the interaction between waves and mean flows: From nonlinear WKB theory to gravity-wave parameterizations in weather and climate models. Journal of Mathematical Physics 64 (11), 111101. doi: 10.1063/5.016518
Dolaptchiev, S. I., P. Spichtinger, M. Baumgartner, and U. Achatz (2023): Interactions between gravity waves and cirrus clouds: asymptotic modeling of wave induced ice nucleation. doi: https://doi.org/10.1175/JAS-D-22-0234.1.
Spichtinger, P., P. Marschalik, and M. Baumgartner (2023): Impact of formulations of the homogeneous nucleation rate on ice nucleation events in cirrus. Atmospheric Chemistry and Physics 23 (3), 2035–2060. doi: 10.5194/acp-23-2035-2023


